
焊接质量一般是通过焊缝质量好坏来做评定,而焊缝质量取决于所焊接的物体、焊接填充物以及所选用的焊接工艺及参数。为了更好地去优化和改善焊接工艺,对于焊缝及其热影响区进行力学性能表征是极其有意义的。
对局部弹塑性特性的兴趣导致了一种新检测技术的发展,该技术使用球形压头对焊缝及其热影响区进行局部应力应变性能表征,加载期间使用振动的压痕允许非常局部地确定试验材料的代表性应力-应变曲线。简单的应力应变分析在Anton-Paar压痕软件中实现。该方法可适用于焊缝及其附近不同区域的局部力学性能的表征。
焊缝裂纹尖端附近的弹塑性行为研究

纳米压痕仪 NHT3
通过展示仪器化纳米压痕测试方法获得低合金钢焊缝中裂纹尖端附近区域和远离裂纹尖端区域的应力应变行为。焊缝出现裂纹通常是由焊接过程中焊缝快速凝固产生的热应力引起的,或由内部显微结构的发生改变所引起的,导致硬度和屈服强度增加,但抗断裂性降低。为了了解局部区域的应力应变行为,仪器化纳米压痕法是能够提供此信息的少数方法之一,局部应力应变测量的目的是帮助理解焊缝开裂的原因。

图1 : 靠近或远离焊缝裂纹尖端局部区域的仪器化压痕测试
使用Anton-Paar纳米压痕仪NHT3搭载半径为20 µm球型针尖对两个已经存在焊缝裂纹的样品进行测试,以获得局部的应力应变行为;与传统的静态测试方法不同的是,在这次的应用案例中将采用在加载过程增加正弦波加载方式的动态测试方法 (Sinus),选取最大载荷为500 mN,加载卸载速率为1000 mN/min,动态加载振幅为50 mN,频率为5 Hz。

图2:载荷位移曲线

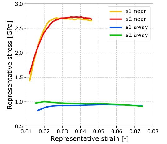
图3:应力应变曲线
图2和图3显示了动态加载测试下获得的压痕曲线,以及从两个区域的压痕曲线中获得的应力应变曲线。可以看出裂纹尖端附近区域的屈服强度远高于远离裂纹尖端的区域。屈服强度的增加通常与延展性的降低有关,这可能对焊缝的抗断裂韧性产生至关重要影响。在外部荷载作用下,靠近裂纹尖端的材料屈服强度增加,往往会出现比基材更早断裂的情况,因此在整个结构中是个力学薄弱点。焊缝中的断裂会导致整个部件失效,因此应该去调整焊接参数,使裂纹尖端附近的材料具有较低的屈服应力和较高的抗断裂性。
焊接铝合金的应力应变行为研究
仪器化纳米压痕测试方法中应力应变分析的另一个经典应用是研究金属焊缝周围的弹塑性,尤其是软金属,例如铝合金。铝合金比钢对高温更敏感,因此,研究铝合金的焊接热效应尤为更重要。在本应用所提及的研究中,在加载过程中使用正弦波动态加载模式,利用球形纳米压痕针尖的特性对两种不同的铝合金焊缝附近的弹塑性行为进行局部表征。球形纳米压痕针尖用于确定靠近焊缝(区域A)且距离焊缝约2mm(区域B)的应力应变特性。

图4:对比距离焊缝近的区域A和距离焊缝2mm处区域B的应力应变行为
使用NHT3纳米压痕仪搭载半径20µm球型针尖作为表征手段,选取的最大载荷为300 mN、加载卸载速率为600 mN/min。在加载过程中采用正弦波的动态加载模式,振幅为30 mN,频率为5 Hz。图4展示了区域A和区域B的应力应变曲线的比较。
两个区域表现出相类似的弹塑性行为,屈服应力约为0.3 GPa。这表明焊接过程中加热和冷却对材料的弹塑性性能的影响可以忽略不计。然而,并非所有情况下都是如此,焊接区域的局部应力应变行为仍然是优化焊接参数的重要信息。
搅拌摩擦焊接铝合金的应力应变研究
搅拌摩擦焊(FSW)通常是铝合金焊接工艺更好地选择,而传统电弧焊由于铝的高导热性而容易产生较大的热影响区。FSW中的焊接温度远低于中心接触点,因此热效应的传导不如弧焊中明显。在这种情况下,将两种不同的铝合金AA6111-T4(T4)和AA6061-T6(T6)焊接在一起,并在距离熔核中心位置的1.1 mm、2.2 mm和3.3 mm处研究硬度、弹性模量和屈服应力。
以下参数用于压痕:最大载荷300 mN,加载速率600 mN/min,动态加载模式下选取振幅30 mN,频率5 Hz。
图5的结果表明随着距熔核距离的增加,所表现出的应力应变行为大致一样,仅存在微小差异。在所有的三个区域的屈服应力大约为0.33 GPa(两种基材中的屈服应力大约为0.27 GPa,图中未显示)。母材的硬度为0.8 GPa(T4合金)和1.1 GPa(T6合金)。所有三个区域(距焊缝熔核1.1 mm、2.2 mm和3.3 mm)的硬度均为1.1 GPa,这证实焊缝附近的弹塑性能并没有发生显著变化。

图5:距熔核不同位置的应力应变曲线
Aoton-Paar自研自产的纳米压痕仪能非常好地去胜任微观局部的应力应变分析,新一代的检测手段的开发有助于焊接行业的进一步发展。


安东帕中国总部
销售热线:+86 4008202259
售后热线:+86 4008203230
官网:www.anton-paar.cn
在线商城:shop.anton-paar.cn